이번 포스팅에선 열의 개념에 대해 다루어 보고자 합니다.
열의 기본적인 개념부터 정적인 상황을 다루는 열역학, 동적인 상황을 다루는 열전도, 마지막으로 실질적인 열적 측정방식에 대해 다루어 보고자 합니다.
- 열전도도 측정 방식
열(Heat)이란 물체의 온도를 변화시키는 에너지입니다.
이러한 열은 단순히 에너지의 형태가 아닌 에너지의 전달 형태라고 이해하는 것이 더 적합합니다.
이러한 열의 이동 방법에는 열전도, 열대류, 열복사의 3가지가 있습니다.
가장 기본이 되는 열역학에서는 두 평형 상태 사이의 에너지 변화량을 다루고 있습니다.
이는 힘의 평형, 화학적 평형, 열적 평형을 모두 포함하며 정적인 상황을 다룬다고 이해해 주시면 좋을 것 같습니다.
열 전달(Heat Transfer), q[W] [J/s]
온도 차이에 의하여 열이 전달되는 현상을 예측하는 학문으로 열의 전달량 뿐만 아니라 열의 시간당 전달률을 예측하는 학문입니다. 이는 상태가 바뀌는 중간 과정을 중요시하며 퓨리에 법칙(Fourior law)을 따릅니다.
Heat Transfer ∝ A*dT (Fourier 법칙)
전도 : 두 물체가 접촉해서 분자의 운동이 전달되어 열이 이동하는 현상(푸리에 법칙)
대류 : 액체나 기체 상태의 분자가 직접 이동하면서 열이 이동하는 현상(뉴턴 냉각 법칙)
복사 : 물질의 도움 없이 열이 직접 이동하는 현상
Q = h*A*dT [W] [J/S]
열전달 계수(Heat transfer coefficient) α=q/A*dT [W/m2℃] [J/(m2℃)*s]


열전도도(Thermal conductivity) , k [W/m℃] [J/(m℃)*s]
단위 두께를 갖는 평판의 양면에 단위온도차가 주어졌을 때, 단위 시간당 전달되는 열의 양으로 정의됩니다.
• 고체인 경우 : 가 큰 경우에도 오차가 작다.
• 기체, 액체인 경우 : 가 큰 경우 오차가 크다.
→ 대류 열전달, 복사 열전달 등이 동시에 작용하기 때문


열전도율(Thermal conductance) , c = K*A/d [W/℃] [J/(℃)*s]
구체적인 크기와 모양을 가진 물체가 실제로 열을 전달하는 정도를 의미합니다.

대류(Convection)
→ 물질의 이동에 의하여 수반되는 열전달 현상
→ 물질 내에 온도 차이가 존재할 때 열이 전달
→ 전달 매개체가 반드시 필요
→ 물체 주위의 뜨거워진 유체층 (열 경계층) 내의 유체를 이동시킴으로써 열이 전달되는 현상
복사(Radiation)
: 전자파(electromagnetic wave)에 의한 열의 전달
: 열전달에서 중요시하는 파장 범위로는 가시광선, 적외선, 자외선 등을 포함하는 범위의 전자파
복사열전달의 특징
: 전달매개체가 존재할 경우에는 전자파가 통과할 수 있는 매개체이어야 함
: 전달 매개체가 없는 진공상태에서도 전달할 수 있으며, 이 경우 가장 많은 복사열이 전달
열전도도(Thermal conductivity) , k [W/m℃] [J/(m℃)*s]
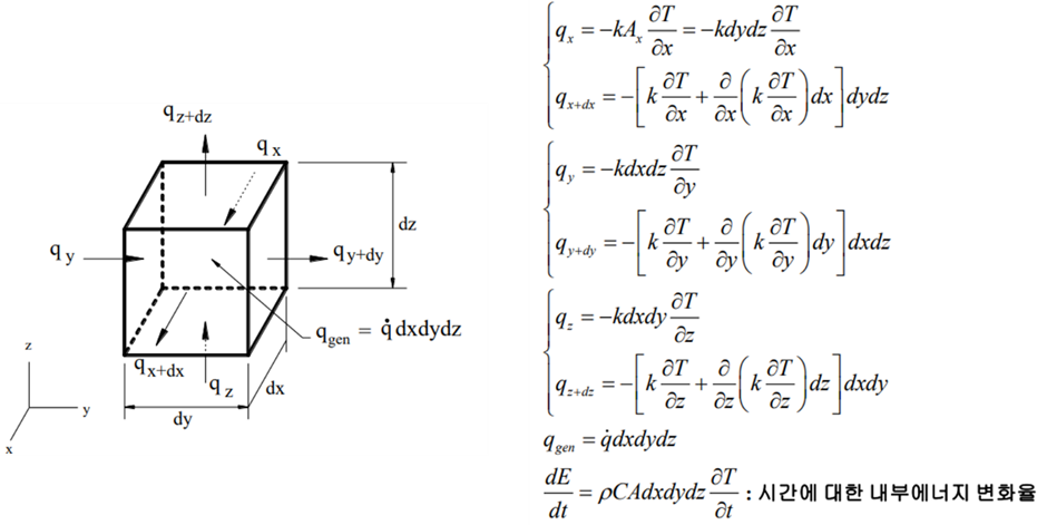
Energy balance
전도된 량 = 대류에 의해 뺏긴 열량 + 복사에 의해 뺏긴 열량
{Energy conducted in left face at (qx) + Heat generated within element (qgen )}
= {Energy conducted out right face at x+dx( qx+dx) + Change in internal energy(dE/dt) }
이는 우리가 잘 모르거나 복잡한 함수를 다루기 쉽고 이해하기 쉬운 다항함수로 대체시키기 위하여 Taylor 급수 전개를 통해 설명됩니다.

이러한 내부 에너지의 열전도도는 실질적으로 3차원에서 변화되며 아래와 같이 표현할 수 있습니다.

이로써 열에 대한 간단한 이론이 끝났네요.
다음 포스팅에서 실질적인 열 측정 방식에 대한 내용으로 찾아뵙겠습니다. ^^
헷갈리는 열 개념 제대로 공부하기 (1) | 열전도도 열역학
헷갈리는 열 개념 제대로 공부하기 (1) | 열전도도 열역학
이번 포스팅에선 열의 개념에 대해 다루어 보고자 합니다. 열의 기본적인 개념부터 정적인 상황을 다루는 열역학, 동적인 상황을 다루는 열전도, 마지막으로 실질적인 열적 측정방식에 대해 다
jungwonlab.tistory.com
'공학' 카테고리의 다른 글
| 온도 측정방식 총정리 | 바이메탈 열전대 서모파일 RTD NTC PTC IC센서 (1) | 2024.01.17 |
|---|---|
| 열전성능지수 zT 계산기 | Thermoelectric Figure of Merit zT (1) | 2023.11.21 |
| 헷갈리는 열 개념 제대로 공부하기 (1) | 열전도도 열역학 (56) | 2023.11.16 |
| CNT 라만 분석 G peak D peak 의미 - 라만 Stokes, Anti-stokes 효과와 그래프 분석 (0) | 2022.10.12 |
| 라만 분석(Raman Analysis) - 라만 산란 양자역학 포논 Phonon Rayleigh scattering Stokes 효과 Anti-stokes 효과 (1) | 2022.10.05 |
댓글